广东司法警官职业学院2023年自主招生普通现代学徒制试点考试成绩公示
窗体顶端
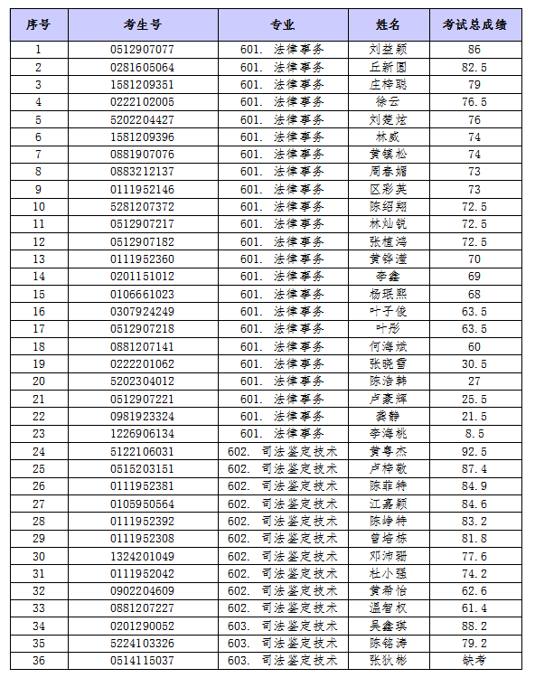
根据广东省教育厅关于做好2023年高等职业院校自主招生工作的通知(粤教考函〔2023〕13号)精神及广东司法警官职业学院2023年普通现代学徒制试点招生简章的有关规定,现将2023年普通现代学徒制试点自主招生考试成绩予以公示:

公示期为2023年5月24日至2023年5月26日。若对公示成绩有异议,请以电子邮件的方式(2243296691@qq.com)的形式向我院招生办公室反映。反映情况者须实名,提供真实姓名、身份证正反面扫描件和联系方式(手机号码),匿名件不予受理。
广东司法警官职业学院
招生办公室
2023年5月24日